山羊抗兔 IgG- Dylight 488二抗 | Goat Anti-Rabbit IgG- Dylight 488貨號A23220

山羊抗兔 IgG- Dylight 488二抗 | Goat Anti-Rabbit IgG- Dylight 488貨號A23220
Goat Anti-Rabbit IgG- Dylight 488
![]()
Abbkine 二抗(secondary antibodies)具有酶(enzyme)、生物素(biotin)或螢光團(fluorophore)偶聯,用於各種基於抗體的應用(antibody-based applications),包括蛋白質印跡(Western Blot)、免疫組織化學(ImmunoHistoChemistry)、免疫螢光(ImmunoFluorescence)、流式細胞術(Flow Cytometry)和 ELISA。提供來自山羊(goat sources)、兔子(rabbit sources)和驢源(donkey sources)的高質量二抗。還提供血清吸附二抗(Serum adsorbed secondary antibodies),建議用於富含免疫球蛋白(immunoglobulin-richs)的樣品。
DyLight螢光染料是一種新的染料家族,具有更高的亮度和光穩定性(photostability)。它們優於或可與其他公司最好的螢光染料相媲美。任何螢光團-抗體偶聯物的檢測水平取決於染料的亮度和光穩定性;抗體活性(antibody activity)、特異性(specificity)和交叉反應性(cross-reactivity);和每個抗體的最佳染料摩爾數(optimal moles of dye per antibody)。已經為每種染料建立了摩爾飽和度曲線(molar saturation curve)與螢光強度(fluorescence intensity)、抗體活性(antibody activity)、背景水平(background level)和/或其他參數的關係,以優化抗體檢測水平並最小化背景。 DyLight 螢光染料具有高度水溶性(water soluble),並且在 pH 4 到 pH 9 期間保持螢光。
山羊抗兔 IgG- Dylight 488二抗,其免疫原為Rabbit IgG whole molecule。Host宿主來源為Goat。反應物種為Rabbit,可應用於FCM, ICC, IF。最佳工作稀釋度應由研究者通過實驗確定。建議的起始稀釋度如下:Suggested starting 1:50-1:1000 dilutions for most fluorescent applications。
山羊抗兔 IgG-HRP標誌 | 山羊抗兔 IgG-Biotin標誌 | 山羊抗兔 IgG- Dylight 488二抗 | 山羊抗兔 IgG- Dylight594二抗 | 山羊抗兔 IgG- Dylight649二抗
活細胞和死細胞雙染色套組 | CCK-8細胞增殖和細胞毒性試劑盒 | LDH細胞毒性測定試劑盒 | 細胞衰老檢測試劑盒(β-半乳糖苷酶 | 細胞增殖EdU Image試劑盒

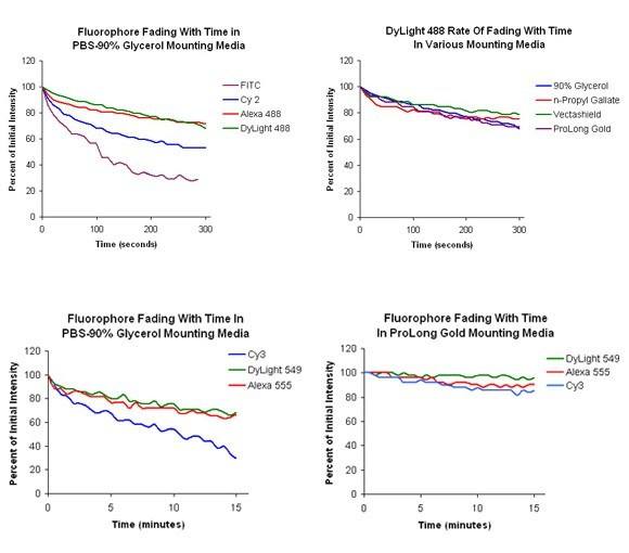
Fig.1. DyLight fluorescent dyes are a new family of dyes with improved brightness. DyLight 488-antibody conjugates are brighter than Cy2 and FITC conjugates and similar in brightness to Alexa Fluor 488 conjugates. DyLight 549-antibody conjugates shows brighter influoresence than TRITC conjugates. Also, DyLight 594-antibody conjugates are noticeably brighter than Alexa 594 conjugates, and much brighter and more water soluble than Texas Red conjugates.

Fig.2. DyLight fluorescent dyes show improved photostability as well. DyLight 488 conjugates fade less than FITC and Cy2 conjugates in mounting media indicating that the DyLight 488 molecule is inherently more photostable in epifluorescence microscopes. DyLight 549 conjugates are about as photostable as Alexa 555 conjugates and slightly more photostable than Cy3 conjugates.

Fig.3. To use the DyLight Fluors with fluorescent imagers, use a spectral line of the blue laser diode for DyLight 405, a cyan (488 nm) laser for DyLight 488, a green (526 nm) laser for DyLight 550 and 594, and a red (633 nm) laser for DyLight 633 and 650. The DyLight 680, 755 and 800 fluors are compatible with laser- and filter-based infrared imaging instruments that emit in the 700 nm, 750 nm and 800 nm region of the spectrum, respectively.
| Product name | Dylight 488, Goat Anti-Rabbit IgG |
| Immunogen | Rabbit IgG whole molecule |
| Host | Goat |
| Reactivity | Rabbit |
| Applications | FCM, ICC, IF |
| Applications notes | Optimal working dilutions should be determined experimentally by the investigator. Suggested starting 1:50-1:1000 dilutions for most fluorescent applications. |
| Clonality | Polyclonal |
| Preparation method | Affinity purified using solid phase Rabbit IgG (H&L) with finally > 95% purity based on SDS-PAGE |
| Conjugate | Dylight 488 |
| Formulation | Liquid solution |
| Features & Benefits | DyLight fluorescent dyes are a new family of dyes with improved brightness and photostability). They are better than or comparable to the best fluorescent dyes from other companies). The detection level of any fluorophore-antibody conjugate depends on brightness and photostability of the dye; antibody activity, specificity, and cross-reactivity; and the optimal moles of dye per antibody). A molar saturation curve vs fluorescence intensity, antibody activity, background level, and/or other parameters has been established for each dye to optimize the level of antibody detection and minimize background). DyLight fluorescent dyes are highly water soluble and remain fluorescent from pH 4 to pH 9). |
| Storage buffer | Liquid in PBS, pH 7.4, containing 0.02% Sodium Azide as preservative, 1% BSA as stablizer and 50% Glycerol. |
| Storage instructions | Stable for one year at -20°C from date of shipment. For maximum recovery of product, centrifuge the original vial after thawing and prior to removing the cap. Aliquot to avoid repeated freezing and thawing. |
| Shipping | Gel pack with blue ice. |
| 貨號 | 產品名稱 | 胞器染色位置 | 螢光波段 | |
| 貨號KTC4003 | TraKine™粒線體染色 | 粒線體(mitochondria) | Ex / Em = 490/523 nm | 增殖(proliferating)和非增殖細胞(non-proliferating cells) |
| 貨號KTC4100 | Pro活細胞微管蛋白染色 | 微管蛋白(Tubulin) | Ex/Em = 500/520 nm | 活細胞或固定之細胞 |
| 貨號KTC4001 | Abbkine 細胞膜染色 | 細胞膜 (plasma membrane) | Ex/Em = 484/501 nm | 活細胞、固定懸浮、貼附細胞 |
| 貨號BMD00063 | DAPI Staining Solution | 細胞核 dsDNA | Ex/Em: 358/461 nm (with DNA) | 染色活細胞和固定細胞 |
| 貨號KTC4210 | 活細胞Lysosome染色 | Lysosome | deep red fluorescent dye , Ex/Em:650/665nm | 染色活細胞和固定細胞 |
| 產品貨號 | 品項 | 反應 | 測量儀器 |
| 貨號KTA1001 | 活細胞和死細胞雙染色試劑盒 | 100個反應 |
活細胞綠色螢光染劑Ex/Em = 488/530 nm; 死細胞紅色螢光染料(Ex/Em = 535/617) |
|
|
|
50個反應 | 螢光酶標儀、螢光顯微鏡或流式細胞儀。FITC通道(Ex / Em = 490nm / 520 nm) |
|
|
CCK-8細胞增殖和細胞毒性試劑盒 | 500個反應 | 吸收光450nm |
| 貨號KTC4003 | TraKine™粒線體染色 | 50個反應/250個反應 | Ex / Em = 490/523 nm增殖(proliferating)和非增殖細胞(non-proliferating cells) |
| 貨號KTC4100 | Pro活細胞微管蛋白染色 | 50個反應/250個反應 | Ex/Em = 500/520 nm |
| 貨號KTC4001 | Abbkine 細胞膜染色 | 100個反應/500個反應 | Ex/Em = 484/501 nm |
| 貨號BMD00063 | DAPI Staining Solution | 10MG/100MG | Ex/Em: 358/461 nm (with DNA) |
| 貨號KTC4210 | 活細胞Lysosome染色 | 50個反應/250個反應 | deep red fluorescent dye , Ex/Em:650/665nm |
| 貨號KTA3030 | 細胞衰老檢測試劑盒(β-半乳糖苷酶) | 100個反應 | 光學顯微鏡 |
| 貨號KTA1020 | CCK-8細胞增殖和細胞毒性試劑盒 | 1000個反應/10,000個反應 | 吸收光450nm |
| 貨號KTA2030 |
(BrdU替代法) |
100個反應/500個反應 | AbFluor 488 azide (Ex/Em = 501/525 nm) |
| 貨號KTB1400 | 一氧化Dan(NO)檢測試劑盒 |
96個反應/ 192個反應 |
colorimetric (540 nm) 檢測範圍:1-100 µM |
| 貨號KTB1070 | CheKine™黃嘌呤氧化酶檢測 |
96個反應/ 480個反應 |
OD 450 nm 線性範圍15.6 -500 mU/ |
| 貨號KTD3001 | BCA蛋白定量試劑盒 |
2000個反應/ 5000個反應 |
OD 562 nm 相容性 5 % SDS, 5 % Triton X-100, 5 % Tween-20, 60, 80 50 to 1000 µg/ml. |
| 貨號KTB1110 | 乳酸脫氫酶(LDH)測定試劑盒 |
96個反應/ 480個反應 |
λmax= 450 nm 1- 20 U/mL of LDH |
| 貨號PRP100153 | IGF-I重組蛋白 | 200UG/1MG |
human IGF1 isoform 1 (P05019-1) (Gly 49-Ala 118) > 95 % as determined by SDS-PAGE |
| 貨號 KTA2020 | 細胞週期染色檢測 | 100個反應/500個反應 | Ex/Em=535/615 nm. |
| 貨號BMC21400 | PurKine™內毒素去除預裝離心柱 |
1ml×5 3mlx5 |
More than 2,000,000 EU/mL to eliminate >99% of endotoxins. |
| 貨號KTA1200 | CheKine™蛋白羰基比色測定試劑盒 |
48個反應/ 96個反應 |
吸收光370 nm |
| 貨號KTB1080 | 超氧陰離子清除測定試劑盒 |
48個反應/ 96個反應 |
Superoxide anion scavenging rate D% =(∆∆ODControl – ∆∆ODSample)÷ ∆∆ODControl ×100% |
| 貨號KTB1090 | 清除氫氧自由基能力測定試劑 |
48個反應/ 96個反應 |
吸收光 536nm Hydroxyl radical scavenging rate D% =(ASample – AControl)÷(ABlank – AControl)×100% |
| 貨號KTB2220 | TC總膽固醇檢測試劑盒 |
48個反應/ 96個反應 |
500nm Standard: 5 μmol/mL |
| 貨號KTB1510 | CheKine™尿酸(UA)比色分析試劑盒 |
48個反應/ 96個反應 |
吸收光505 nm Standard: 5 μmol/mL. |
| 貨號KTB1300 | Glucose葡萄糖測定試劑盒 |
96個反應/ 192個反應 |
吸光值630nm 4- 300 mg/dL) |
| 貨號KTB1100 | Lactate 乳酸檢測試劑盒 |
96個反應/ 480個反應 |
colorimetric (450 nm) 0.03 mM-2 mM |
| 貨號KTB1700 | 組織和血液鹼性磷酸酶( Alkaline Phosphatase, AKP / ALP)比色測定 |
96個反應/ 96 X5盤 |
吸收光510 nm |
| 貨號KTB1500 | 總抗氧化劑能力TAC分析 |
96個反應/ 480個反應 |
593 nm 偵測範圍: 0.15-3 mM |
| 貨號KTA0002 | Annexin V-AbFluor™488細胞凋亡檢測試劑盒 | 20個反應/50個反應/100個反應 | Annexin V- AbFluor™ 488: Abs/Em = 491/517 nm; PI: Abs/Em = 535/617 nm (with DNA) |
| 貨號KET7013 | EliKine™ Rat IL-6 ELISA Kit試劑盒 |
96個反應/ 96 X5盤 |
450 nm 偵測範圍: 250pg/mL-16000 pg/mL, 最低靈敏度100 pg/mL |
| 貨號KET0003 | 雌二醇(Estradiol , E2)試劑盒 |
96個反應/ 96 X5盤 |
450 nm 偵測範圍40 pg/ml-1500 pg/ml |
| 貨號KET6032 | TNF–α Alpha型腫瘤壞死因子 ELISA試劑盒 |
96個反應/ 96 X5盤 |
450 nm 7.8 pg/ml-500 pg/ml |
| 貨號KET6033 | VEGF血管內皮生長因子ELISA試劑盒 |
96個反應/ 96 X5盤 |
450 nm 偵測範圍: 31.25 pg/mL-2000 pg/mL |
| 貨號KET7005 | 白介素-1β(Interleukin-1β, IL-1β)ELISA試劑盒 |
96個反應/ 96 X5盤 |
Microplate reader capable of measuring absorbance at 450 nm, with the correction wavelength set at 540 nm or 570 nm. 偵測範圍: 15.6 pg/ml-1000 pg/ml |
| 貨號KTE70003 | 小鼠黃嘌呤脫氫酶/氧化酶(XDH)ELISA試劑盒 |
96個反應/ 96 X5盤 |
450 nm 偵測範圍: 22.5 ng/L-360 ng/L, 最低靈敏度1.0 ng/L。 |
| 貨號 A02051HRP | His-tag標籤多株抗體-HRP | 50ul/200ul | WB (1:5000). |
| 貨號A02170MGB | Anti-V5 Tag Mouse Monoclonal Antibody (11D5), 磁珠 | 100ul/400ul/2ml | GKPIPNPLLGLDST epitope |
| 貨號KTA4001 | JC-1線粒體膜電位測定試劑盒 |
100個反應/ 500個反應 |
(聚結的JC-1,Ex / Em = 585/590 nm)發出綠色螢光(JC-1單體,Ex / Em = 510/527 nm) JC-1 Stain CCCP (10 mM) Assay Buffer (5×) |
| 貨號KTB1600 | 穀胱甘肽(Glutathione)檢測 | 96個反應 |
412 nm 2-200 µg/mL |
| 貨號BMD00063 | DAPI Staining Solution | 1MG/10MG/100MG | λEx/λEm: 358/461 nm (with DNA) |
| 貨號KTP3001 | 細胞核/細胞質分離試劑盒 |
50個反應/ 200個反應 |
Cytoplasmic Solution A (CES A) Cytoplasmic Solution B (CES B) • Nuclear Extraction Solution (NES) DTT (500X) Protease Inhibitor (100X) |
| 貨號BMD00064-50UG | Calcein AM鈣黃綠素活細胞螢光染劑 | 50ug/1mg/10mg |
λEX/λEm: 494/517 nm (pH 8) (calcein)
|
| 貨號 KTB1660 | 硫氧還蛋白過氧化物酶(TPX)檢測 | 96個反應 | 240nm |
| 貨號KTB1020 | NAD/NADH 分析試劑盒 |
96個反應/ 480個反應 |
OD565 nm 96 孔板測定中的檢測限值為 0.78 μM 線性最高 50 μM NAD+/NADH。 |
| 貨號KTB1070 | CheKine™黃嘌呤氧化酶檢測 |
96個反應/ 480個反應 |
OD 450 nm 線性範圍15.6 -500 mU/mL |
| 貨號KTB1040 | Catalase過氧化氫酶活性檢測試劑盒 |
96個反應/ 480個反應 |
OD 540 nm 2-75 µM |
| 貨號KTB1060 | 過氧化物酶(Peroxidases)分析試劑盒 | 96個反應 |
OD 664 nm 線性範圍為15.6-1000 µU/mL |
| 貨號KTB1050 | 脂質過氧化檢測試劑盒(MDA) | 96個反應 |
OD 532 nm 1-100 µM/L |
| 貨號KTB1030 | 超氧化物歧化酶(SOD)活性測定試劑盒 | 96個反應 | 200-3.13 U/ml |
| 貨號KTA1030 | LDH細胞毒性測定試劑盒 |
96個反應/ 480個反應 |
OD 565 nm 10,00-100,0000 cells per well |
Abbkine Scientific Co., Ltd由一群志同道合的科學家和行銷專家,在2012年成立於美國加利福尼亞州,隨著亞洲市場的迅猛增長,Abbkine將總部搬遷至中國。結合了Abbkine美國技術和中國製造兩方面的巨大優勢,Abbkine致力於提供創新的、高品質的、買得起的實驗試劑盒、蛋白質、抗體以及其它研究工具,以期成為生命科學研究發展,藥物研發等領域的關鍵推動者。
發展歷程
Abbkine致力於提供創新的、高品質的、買得起的實驗試劑盒、蛋白質、抗體以及其它研究工具以期成為生命科學研究發展,藥物研發等領域的關鍵推動者。Abbkine以特色的蛋白質生產與檢測試劑起家,致力於創新和研發各類抗體、生化試劑、蛋白質和實驗試劑盒,以期望為全球科研工作者提供革新的解決方案。我們很自豪地為客戶提供如下特色產品線,並會一如既往地開發新型的、高品質的、買得起的生命科學研究和診斷試劑產品。
2017年檢測細胞因數和激素的ELISA試劑盒應運而生: 根據市場需求,開發EliKine™系列ELISA試劑盒,涵蓋各類細胞因數和激素熱門指標,如白介素(IL)、腫瘤壞死因數(TNF)、干擾素(IFN)等明星級偶聯標記試劑盒全球發售:
2018年憑藉先進的蛋白質偶聯技術和嚴格的品質控制,我們提供LinKine™偶聯標記試劑盒,在抗體、蛋白質、多肽或者其它生物分子上可直接標記HRP,Biotin,FITC,Cy3,AbFluor™以滿足科研應用,藥物研發以及診斷試劑盒開發的需求。
2019年生化、細胞類產品線逐步擴充搭建細胞產品研發平臺,細胞狀態檢測、細胞染色、細胞提取、生化試劑盒產品得到越來越多全球客戶的認可。
- 全套表位標籤抗體和內參抗體,以及相應的定制偶聯產品
- 小包裝的磷酸化和甲基化特異性的抗體產品
- 最熱門的二抗產品:用於IF的IFKine系列產品,以及IP-WB的IPKine系列產品
- 全套高品質,買得起的蛋白質純化工具(填料,預裝柱和試劑盒)
- 暢銷的重組蛋白,包含各類細胞因數和生長因數
- 更多細胞功能分析試劑盒,ELISA試劑盒,以及細胞示蹤試劑
此外,我們還建立了技術服務平臺,包括免疫學相關實驗服務(WB/IHC/IF/IP)、蛋白偶聯服務、蛋白表達、生化/細胞學實驗代測、Elisa實驗代測、抗體製備等,憑藉專業技術、設備和服務態度,為客戶提供一站式實驗解決方案。Abbkine時刻把握客戶需求變化,並積極應對、及時調整,使得Abbkine成為許多國際領先的研究機構和臨床診斷公司值得信賴的可靠供應商。


