Dopamine多巴胺檢測 | Dopamine (DA) ELISA Kit貨號K4219 (ABCAN, ab285238)

| 代理廠牌: | ![]() |
| 原廠連結: | |
| 相關下載: |
Dopamine多巴胺檢測 (酵素免疫分析) | 貨號K4219 (ABCAN, ab285238)
Dopamine (DA) ELISA Kit
Dopamine多巴胺是catecholamine兒茶酚胺和phenethylamine families苯乙胺家族的有機化學物質,Dopamine多巴胺由腦內的中腦製造,中腦位於腦幹, 在中腦有種稱為黑質的組織, 組織上聚集著大量含黑色素的細胞, 使組織看起來呈現黑色, 多巴胺就是由這個黑質中製造出來。Dopamine多巴胺在brain大腦和身體中起著重要作用。在大腦中,Dopamine多巴胺作為neurotransmitter神經遞質發揮作用。 在中樞神經系統之外,多巴胺作為局部化學信使在周圍神經系統的幾個部分中起著重要作用。 BioVision的多巴胺ELISA試劑盒是一種競爭性ELISA檢測方法,用於定量測量serum血清,plasma血漿和cell culture supernatants細胞培養上清液中的Dopamine多巴胺。 顏色密度與從樣品中捕獲的多巴胺的量成比例。

ELISA儀器設備請按此 (標配405、450、492、630 nm濾片/最高可擴充至7濾片)(k4219 λ= 450 nm)
| Cat # +Size | K4219-100 (ABCAN, ab285238) |
| Size | 100 assays |
| Detection Method | Absorbance (450 nm) |
| Species Reactivity | Universal |
| Applications | This ELISA kit is used for quantitative measurement of Dopamine in serum, plasma, tissue homogenates and other biological fluids. |
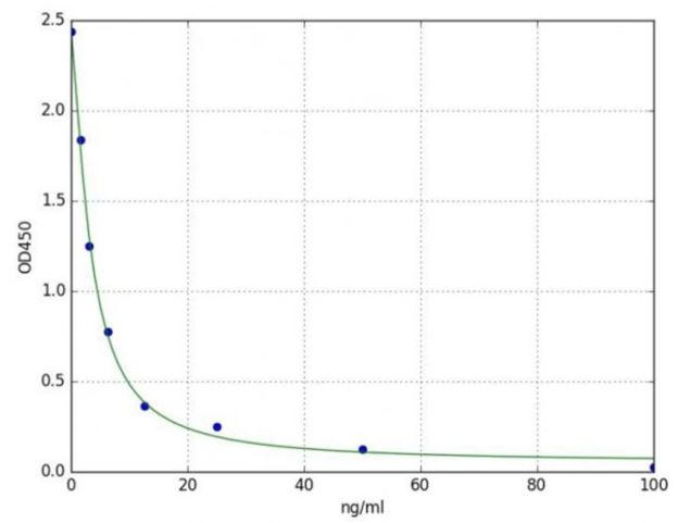
| Features & Benefits | • Easy, convenient and time-saving method to measure the level of Dopamine in serum, plasma, tissue homogenates, culture supernatants and other biological fluids. Detection Range: 1.56 – 100 ng/ml Sensitivity: < 0.938 ng/ml • Cross Reactivity: No significant cross-reactivity or interference between this analyte and its analogues was observed. |
| Kit Components | • Microplate: 96 wells • Lyophilized Standard • Sample / Standard dilution buffer • Biotin- detection antibody (Concentrated) • Antibody dilution buffer • HRP-Streptavidin Conjugate (SABC) • SABC dilution buffer • TMB substrate • Stop Solution • Wash buffer (25X) • Plate sealers |
![]()
Hiroshi Yamaguchi, In vivo cell type-specific CRISPR knockdown of dopamine beta hydroxylase reduces locus coeruleus evoked wakefulness. Nat Commun, Dec 2018; 30523254.
Dopamine多巴胺檢測K4219 | α-突觸核蛋白(SNCA)ELISA試劑盒K4261-100 | 單胺氧化酶活性(總MAO / MAO-A / MAO-B)檢測 | Chlorpromazine多巴胺受體拮抗劑 | Thioridazine多巴胺受體拮抗劑| GDNF多巴胺攝取促進劑
引用文獻
Hiroshi Yamaguchi, In vivo cell type-specific CRISPR knockdown of dopamine beta hydroxylase reduces locus coeruleus evoked wakefulness. Nat Commun, Dec 2018; 30523254.




