人參皂甙Rb1 Ginsenoside Rb1 CAS#41753-43-9 APExBIO貨號 N1620

| 代理廠牌: | ![]() |
| 原廠連結: | |
| 相關下載: |
APExBIO系列商品->>人參皂甙Rb1 Ginsenoside Rb1
APExBIO Technology LLC 是一家領先的小分子抑制劑 (Small Molecule Inhibitors)/活化劑 (Activators)、化合物庫( Compound Libraries)、胜肽(Peptides)、檢測試劑盒(Assay Kits)、螢光標記(Fluorescent Label)、酶(Enzymes)、修飾核苷酸(Modified Nucleotides)、mRNA 合成以及各種分子生物學工具的供應商。APExBIO提供廣泛的產品線,涵蓋 20 多個不同的研究領域,例如癌症(cancer)、免疫學(immunology)、神經科學(neurosciences)、細胞凋亡(apoptosis)和表觀遺傳學(epigenetics)等。公司總部位於美國德州休士頓USA (Houston, Texas),致力於服務全球客戶。高度重視產品品質。所有產品均遵循嚴格的生產指南,並附有分析證書、HPLC、質譜(Mass Spectrum)和HMNR以及體外驗證(in vitro validation)。 APExBIO產品已被《Nature》、《Cell》和《Science》等眾多頂級同行評審期刊引用。

人參皂甙Rb1 Ginsenoside Rb1 CAS#41753-43-9 APExBIO貨號 N1620
Antiproliferative agent
ApplicationReference standard in the analysis of herbal medicinal products.General descriptionProduced and qualified by HWI AnalytikExact content by quantitative NMR can be found on the certificate
人參皂甙Rb1草藥產品分析中的應用參考標準。Purity >99% (HPLC)


Ginsenoside Rb1 CAS#41753-43-9
- COA (Certificate Of Analysis)
- HPLC
- NMR (Nuclear Magnetic Resonance)
- MS(Mass Spectrometry)
- MSDS (Material Safety Data Sheet)
- Datasheet
| Storage | Store at -20°C |
| M.Wt | 1109.29 |
| Cas No. | 41753-43-9 |
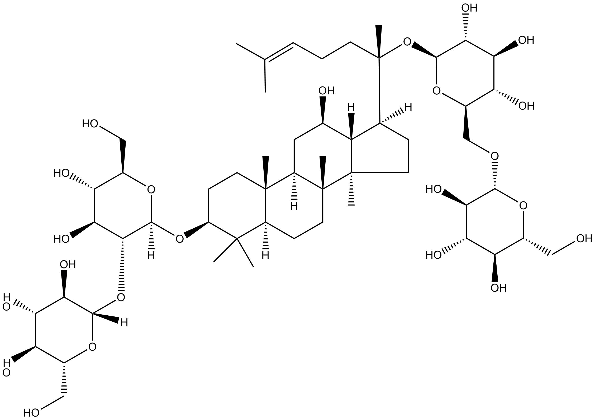
| Formula | C54H92O23 |
| Solubility | ≥51.1 mg/mL in DMSO; ≥2.24 mg/mL in EtOH with gentle warming and ultrasonic; ≥48.1 mg/mL in H2O |
| Chemical Name | (2S,3R,4S,5S,6R)-2-(((2R,3R,4S,5S,6R)-4,5-dihydroxy-2-(((3S,5R,8R,9R,10R,12R,13R,14R,17S)-12-hydroxy-4,4,8,10,14-pentamethyl-17-((S)-6-methyl-2-(((2S,3R,4S,5S,6R)-3,4,5-trihydroxy-6-((((2R,3R,4S,5S,6R)-3,4,5-trihydroxy-6-(hydroxymethyl)tetrahydro-2H-pyran |
| SDF | Download SDF |
| Canonical SMILES | CC(=CCCC(C)(C1CCC2(C1C(CC3C2(CCC4C3(CCC(C4(C)C)OC5C(C(C(C(O5)CO)O)O)OC6C(C(C(C(O6)CO)O)O)O)C)C)O)C)OC7C(C(C(C(O7)COC8C(C(C(C(O8)CO)O)O)O)O)O)O)C |
| Shipping Condition | Small Molecules with Blue Ice, Modified Nucleotides with Dry Ice. |
| General tips | For obtaining a higher solubility, please warm the tube at 37°C and shake it in the ultrasonic bath for a while. We do not recommend long-term storage for the solution, please use it up soon. |
APExBIO提供優質的胜肽和生物分析試劑,廣泛產品線如Protease、Chromatin/Epigenetics表觀遺傳學、MAPK Signal、DNA Damege/DNA repair、細胞凋亡、腫瘤生物學、Stem cell等研究領域, 還提供定制的服務,包括多肽合成,抗體的生產和檢測的發展。產品線DNA/RNA prep kit、Drug Screening panel、Bioactive peptides、Growth factors、Biotinylation Reagents、tag peptides、amino Acids、Growth factors等。APExBIO產品質量都伴隨著證書的分析,高效液相色譜,質譜,和HMNR數據。



