【槲皮素 (Quercetin) CAS# 117-39-5】膳食類黃酮 (dietary flavonoid) 貨號N1841
APExBIO系列商品->>槲皮素 (Quercetin) CAS# 117-39-5
APExBIO Technology LLC 是一家領先的小分子抑制劑 (Small Molecule Inhibitors)/活化劑 (Activators)、化合物庫( Compound Libraries)、胜肽(Peptides)、檢測試劑盒(Assay Kits)、螢光標記(Fluorescent Label)、酶(Enzymes)、修飾核苷酸(Modified Nucleotides)、mRNA 合成以及各種分子生物學工具的供應商。APExBIO提供廣泛的產品線,涵蓋 20 多個不同的研究領域,例如癌症(cancer)、免疫學(immunology)、神經科學(neurosciences)、細胞凋亡(apoptosis)和表觀遺傳學(epigenetics)等。公司總部位於美國德州休士頓USA (Houston, Texas),致力於服務全球客戶。高度重視產品品質。所有產品均遵循嚴格的生產指南,並附有分析證書、HPLC、質譜(Mass Spectrum)和HMNR以及體外驗證(in vitro validation)。 APExBIO產品已被《Nature》、《Cell》和《Science》等眾多頂級同行評審期刊引用。

槲皮素 (Quercetin)| CAS#117-39-5 APExBIO貨號N1841
產品介紹

槲皮素 (Quercetin, CAS 117-39-5) 是一種膳食類黃酮 (dietary flavonoid),廣泛存在於水果(fruits)、蔬菜(vegetables)、堅果(nuts)、茶(tea)和紅酒(red wine)中,具有顯著的抗腫瘤(antineoplastic)和抗發炎(anti-inflammatory)作用。它主要作為細胞內訊號傳導激酶(intracellular signaling kinases)(包括 PI3K 和 NF-κB)的強效抑制劑,並且適度抑制 Akt1/2,對 PKC、p38 和 ERK1/2 路徑的作用較弱。此外,槲皮素 (Quercetin, CAS 117-39-5) 還能升高細胞漿 Ca2+ 水平,破壞粒線體膜電位,誘導細胞色素 c 釋放,並活化半胱天冬酶 (caspase) (3,8 和 9),進而透過粒線體途徑促進細胞凋亡。它也影響細胞週期透過穩定和磷酸化p53。因此,槲皮素 (Quercetin, CAS 117-39-5) 是癌症研究中一個有價值的工具,為化學預防機制和治療潛力提供了見解。

CAS No. : 117-39-5
| Physical Appearance | A solid |
| Storage | Store at RT |
| M.Wt | 302.24 |
| Cas No. | 117-39-5 |
| Formula | C15H10O7 |
| Solubility | insoluble in H2O; ≥15.1 mg/mL in DMSO; ≥3.28 mg/mL in EtOH |
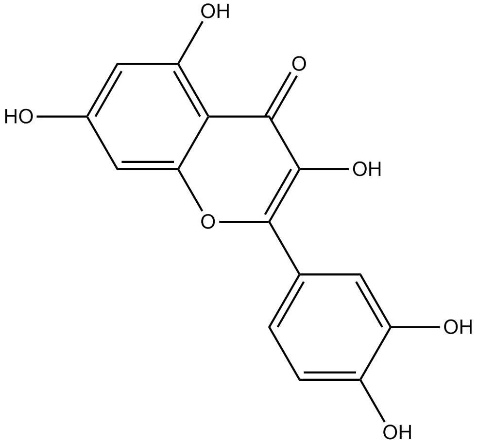
| Chemical Name | 2-(3,4-dihydroxyphenyl)-3,5,7-trihydroxychromen-4-one |
| SDF | Download SDF |
| Canonical SMILES | C1=CC(=C(C=C1C2=C(C(=O)C3=C(C=C(C=C3O2)O)O)O)O)O |
| Shipping Condition | Small Molecules with Blue Ice, Modified Nucleotides with Dry Ice. |

APExBIO提供優質的胜肽和生物分析試劑,廣泛產品線如Protease、Chromatin/Epigenetics表觀遺傳學、MAPK Signal、DNA Damege/DNA repair、細胞凋亡、腫瘤生物學、Stem cell等研究領域, 還提供定制的服務,包括多肽合成,抗體的生產和檢測的發展。產品線DNA/RNA prep kit、Drug Screening panel、Bioactive peptides、Growth factors、Biotinylation Reagents、tag peptides、amino Acids、Growth factors等。APExBIO產品質量都伴隨著證書的分析,高效液相色譜,質譜,和HMNR數據。
